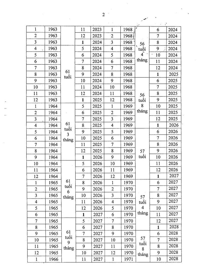
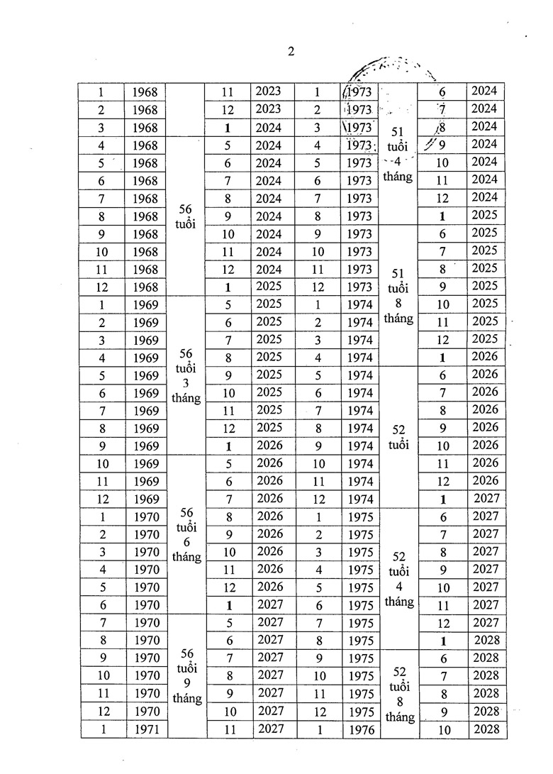
Nghị định 135 quy định về tuổi nghỉ hưu

Đăng lúc: 23-09-2025 8:53 Sáng - Đã xem: 303 lượt xem In bài viết

Download văn bản: Download